Time:2019-09-11 21:34:19View:次
O型密封圈是指截面为"O"形的橡胶圈。是液压与气压传动系统中使用最广泛的一种。主要用于机械部件在静态条件下防止液体和气体介质的泄露。在某些情况下,O型密封圈还能用做轴向往复运动和低速旋转运动的动态密封元件。其结构简单、安装方便、成本低、易维修、材质多样。可作为油、水、气体等各种各样流体的密封使用。根据不同的条件,可分别选择不同的材料与之相适应。
从密封原理来看,O型密封圈是一种挤压型密封,挤压型密封的基本工作原理是依靠密封件发生弹性变形,在密封接触面上造成接触压力,接触压力大于被密封介质的内压,则不发生泄漏,反之则发生泄漏。
标示方法
|
O型圈规格表示方法:内径*线径(ID*C/S) 可选择标准:国标GB3452.1系列美标AS568系列日标JIS B 2401系列 |
![]() |
★注:另可订制非标规格尺寸

技术要求
工作压力:0~70Mpa(高压时需要加配挡圈)
速 度:最大往复速度可达0.5m/s 最大旋转速度可达2.0m/s
使用温度:-60℃~320℃
工作介质:各种润滑油、液体及气体
O型圈硬度与其是否耐压有直接的关系。通常情况下,O型圈硬度越高,它的耐高压能力越强。

现有的各种合成橡胶材质可满足O型圈在不同情况下的工作温度。根据产品工况,可以选取适合其温度的O型圈橡胶材质。

构造设计

| 沟槽中的O型圈在介质压力驱使下会发生变形,O型圈边缘部分会流入间隙位置达到O型圈密封功能。O型圈受到的压力越大,致使O型圈变形越大,则O型圈将获得更好的密封效果。在O型圈受到的压力超出其承受极限时,则O型圈会被挤入到间隙中,造成O型圈密封失效。为此O型圈沟槽设计时,必须合理。 | ![]() |
最大允许挤出间隙gmax和系统压力,O型圈截面直径以及材料硬度有关。通常,工作压力越高,最大允许挤出间隙gmax取值越小。如果间隙g超过允许范围,就会导致O型圈挤出甚至损坏。
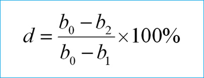
评定O型圈密封性能的另一指标即所选材料的压缩永久变形。在压力作用下,作为弹性元件的O型圈,产生弹性变形,随着压力增大,也会出现永久的塑性变形。压缩永久变形d可由下式确定:

式中: b0-原始厚度(即截面直径W) b1-压缩状态下的厚度 b2-释放后的厚度
通常,为防止出现永久的塑性变形,O型圈允许的最大压缩量在静密封中约为30%,在动密封中约为20%。
| E (%):压缩率 T(mm):压缩余量(T=W-H) W (mm):O型圈截径 H(mm):沟槽深度 n (%) :填充率 G (mm):沟槽宽度 |
![]() |
压缩率的设定
![]() |
使用范围:
8%-30%(动密封:8%-20%;静密封:15%-30%)
|
填充率的设定
![]() |
使用范围:
max90%、设计目标值75%
|
单位(mm)

Prev:Type O circle
Next:Type O circle